Пример 7:
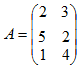
Предприятие выпускает продукцию трех видов: Р1,Р2,Р3 и использует сырье двух типов: S1 и S2. Нормы расхода сырья характеризуются матрицей
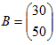
, где каждый элемент aij (i=1,2,3; j=1,2) показывает, сколько единиц продукции j- типа расходуется на производства единицы продукции i-го вида. План выпуска продукции задан матрицей-строкой С=(100 80 130), стоимость единицы каждого типа сырья (ден. ед.) – матрицей-столбцом
.
Определить затраты сырья, необходимые для планового выпуска продукции, и общую стоимость сырья.
Решение. Затраты 1 –го сырья составляют S1=2∙100+5∙80+1∙130=730 ед., поэтому матрица-строка затрат сырья S может быть записана как произведение
Тогда общая стоимость сырья Q=730∙30+980∙50=70900 ден. ед. может быть записана в матричном виде Q=S∙B=(CA)B=(70900).Общую стоимость сырья можно вычислить и в другом порядке: вначале вычислим матрицу стоимостей затрат сырья на единицу продукции, т.е. матрицу
а затем общую стоимость сырья
На данном примере мы убедились в выполнении свойства 7 -ассоциативного закона произведения матриц: (СА)В=С(АВ).
|
|
![]() |
<<Алия>> 11.02.2011 16:00 Всем привет. Я набрала на ЕНТ 90 баллов. без русского. Пятый предмет география. Могу ли я поступить в Международный универ Алматы на грант
![]() |

