y=f(x+
x)-f(x), где
x - приращение аргумента x. Если существует конечный предел отношения приращения функции
y к приращению аргумента
x при произвольном стремлении
x к нулю, то этот предел называется производной функции y=f(x) в точке x и обозначается одним из следующих символов: y',f'(x),
. Таким образом, по определению:

Если указанный предел существует, то функция f(x) является дифференцируемой в точке x; операция нахождения производной y' называется дифференцированием функции y=f(x).
Из равенства
y/
x=tgβ и определения производной следует, что производная в точке x равна тангенсу угла α наклона касательной, проведенной в точке M(x,y) к графику функции y=f(x). С физической точки зрения производная y'=f'(x) определяет скорость изменения функции в точке x относительно аргумента x, т.е. скорость есть производная пути по времени.
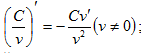
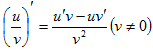
Если С – постоянное число и u=u(x), v=v(x) - некоторые дифференцируемые функции, то справедливы следующие правила дифференцирования:
1) (C)'=0
2) (x)'=1
3) (u±v)'=u'±v'
4) (Cu)'=Cu'
5) (uv)'=u'v+uv'
6)
7)
8) если y=f(u), u=φ(x) , т.е. y=f(φ(x)) - сложная функция, составленная из дифференцируемых функций, то y'x=y'uu'x или
; То есть производная сложной функции равна произведению ее производной по промежуточному аргументу на производную промежуточного аргумента по независимой переменой.
9) если для функции y=f(x) существует обратная дифференцируемая функция x=p(y) и
, то f'(x)=1/p'(y)
На основании определения производной и правил дифференцирования можно составить таблицу производных основных элементарных функций:
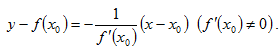
Уравнение касательной к кривой y=f(x) в точке M0(x0,f(x0)) имеет вид:
Уравнение нормали (перпендикуляра) к кривой y=f(x) в точке M0(x0,f(x0)):

При f'(x0)=0 уравнение нормали имеет вид x=x0.
Углом между кривыми в точке их пересечения называют угол между касательными к кривым в этой точке.
Пример 13. Найти производную функции
Здесь y =u3, u = x2+1/x . Значит
.
Пример 14. Найти производную функции
Здесь y=√t , t=sinu, u=lnx. Применив правило дифференцирования сложной функции, получим
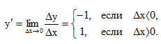
Пример 15. Найти значение производной функции y=|x| в точке x=0.
При любом приращении независимой переменной x равном
x, приращение функции в точке x=0.
Из определения производной следует, что
Это означает, что в точке x=0 функция y=|x| не имеет производной, хотя она и непрерывна в этой точке, поскольку
.
Таким образом, не всякая функция, непрерывная в некоторой точке x, дифференцируема в этой точке. Но легко показать, что любая функция непрерывна во всех точках x, в которых она дифференцируема.