Вычисление определителя n-го порядка
Минором Mij элемента aij (i,j=1,n) называется определитель (n-1)-го порядка, полученный из определителя n-го порядка, вычерчиванием i-й строки и j-го столбца. Алгебраическое дополнение Aij элемента Aij определяется равенством
Aij=(-1)i+j Mij
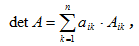
Для произвольного натурального числа (теорема Лапласа, разложение по i-строке)

Пример 12:
Для определителя III-го порядка (при i = 1):
для определителя IV-го порядка:

Поиск на сайте